0
Skip to Content
历史 History
宋博士 Dr. Song
新班招生
现有的班
她们都上MIT
Colorado
大学申请范文
一个故事
爸妈怎么说
三个最早的学生
口碑相传
宋博士数学通讯
网红题
每天数学
每天数学证明
微积分365
动脑筋365
AMC 8, 10, 12, AIME
UNC
我的博客:如何解题?
牛剑, AI , IT, Quant面试题
FAQ
Contact
Open Menu
Close Menu
历史 History
宋博士 Dr. Song
新班招生
现有的班
她们都上MIT
Colorado
大学申请范文
一个故事
爸妈怎么说
三个最早的学生
口碑相传
宋博士数学通讯
网红题
每天数学
每天数学证明
微积分365
动脑筋365
AMC 8, 10, 12, AIME
UNC
我的博客:如何解题?
牛剑, AI , IT, Quant面试题
FAQ
Contact
Open Menu
Close Menu
历史 History
宋博士 Dr. Song
新班招生
现有的班
她们都上MIT
Colorado
大学申请范文
一个故事
爸妈怎么说
三个最早的学生
口碑相传
宋博士数学通讯
网红题
每天数学
每天数学证明
微积分365
动脑筋365
AMC 8, 10, 12, AIME
UNC
我的博客:如何解题?
牛剑, AI , IT, Quant面试题
FAQ
Contact
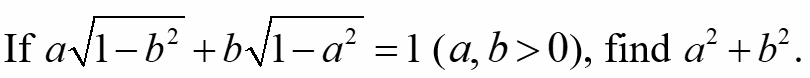
网题超级红,英雄竞折腰。平方再平方, 蛮力射大雕!
我写了268个解
选解
17个物理解